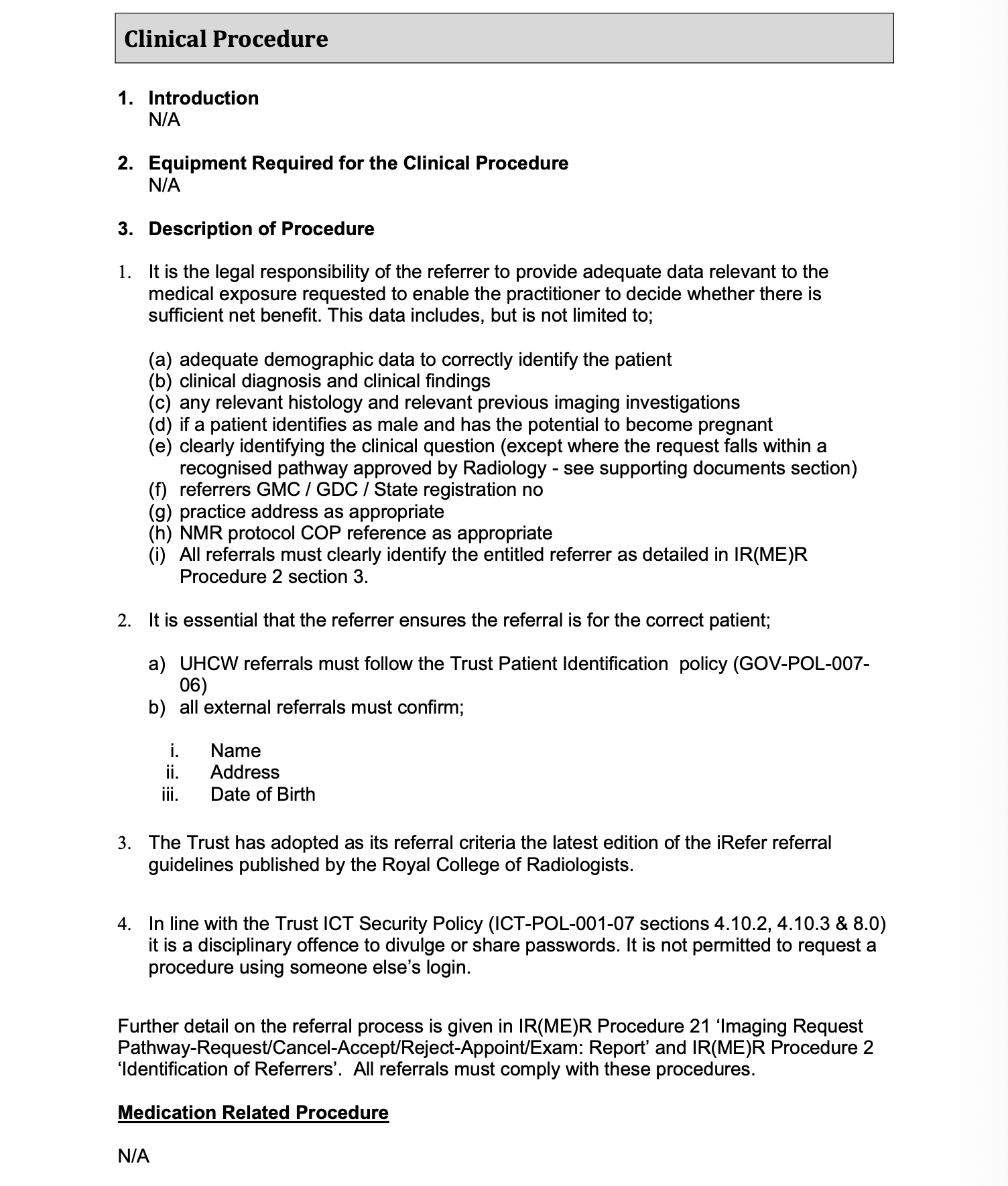
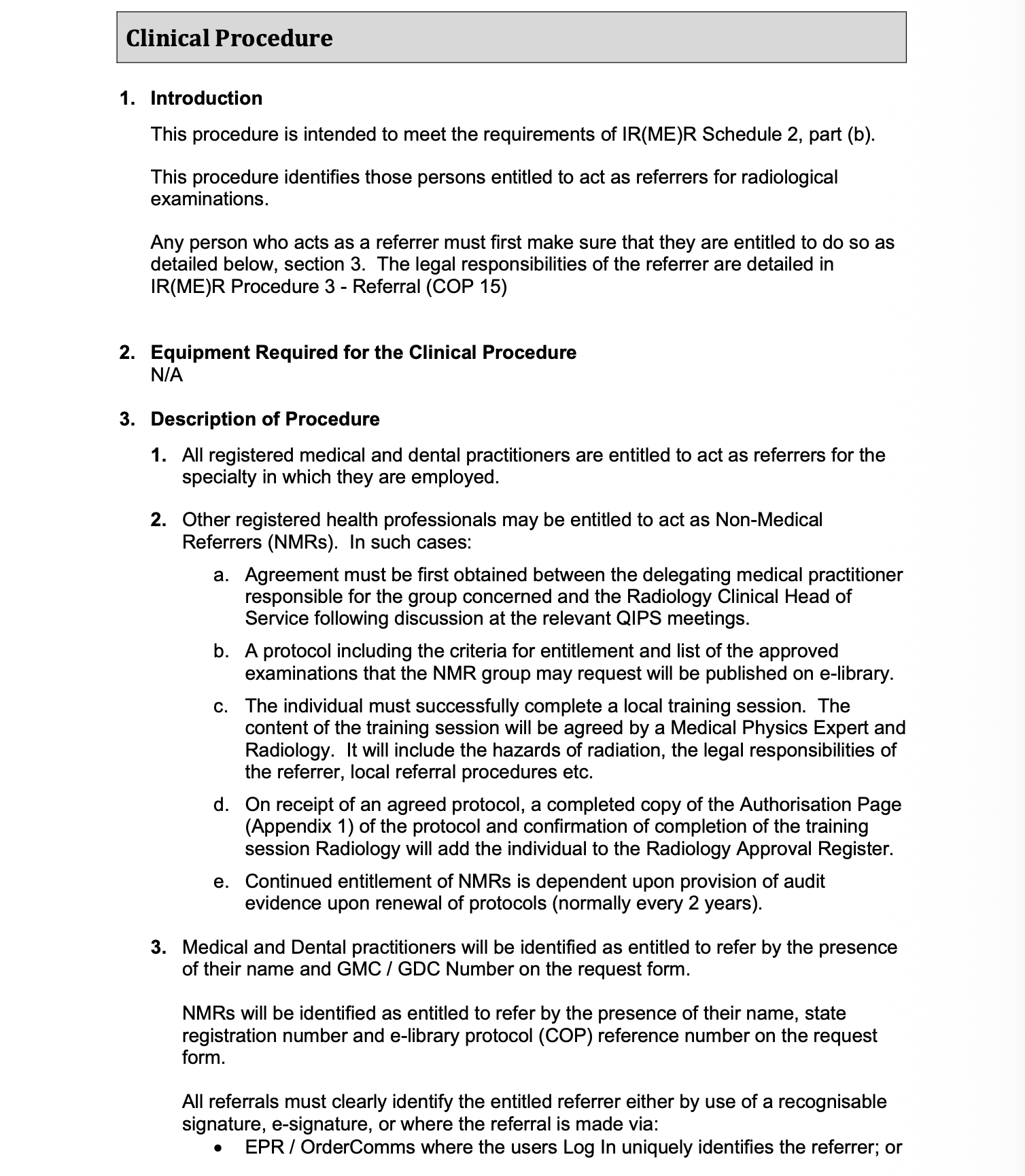
** content-gpage.php ** Radiology > Imaging > Radiology Referral Guidelines IR(ME)R for GPs (UHCW University Hospital Coventry & Warwickshire C) Radiology Referral Guidelines IR(ME)R for GPs (UHCW University Hospital Coventry & Warwickshire C) Reviewed on : 22 Apr 2026Reviewed by : GP Gateway EditorExpires : 22 Apr 2028 (Visited 23 times, 25 visits today) Coventry Guidance . Leave feedback Cancel replyYou must be logged in to post a comment.
Leave feedback
You must be logged in to post a comment.